Balderas-Esparza et al., 2025 de
Artículo Científico
Perfil fuerza-velocidad en béisbol universitario: método para su obtención a través de la mecánica de lanzamiento
Balderas-Esparza Aldair Isay1, Carranza-García Luis Enrique1, Díaz-Ochoa Eduardo Alejandro1, Alonso-Ramos Zeltzin Nereyda1, Hernández-Cruz Germán1
1 Universidad Autónoma de Nuevo León, Facultad de Organización Deportiva, San Nicolás de los Garza, Nuevo León, México.
Correspondencia: german.hernandezcrz@uanl.edu.mx
Área Temática: Ciencias Biomédicas Recibido: 27 de agosto 2025 Aceptado: 10 de octubre 2025 Publicado: 28 de noviembre 2025 Cita: Balderas-Esparza AI, Carranza-García LE, Díaz-Ochoa EA, Alonso-Ramos ZN, y Hernández-Cruz G. 2025. Perfil fuerza-velocidad en béisbol universitario: método para su obtención a través de la mecánica de lanzamiento. Bioc Scientia 1(3). https://doi.org/10.63622/RBS.AFD25.11 Copyright: © 2024 by the authors. Submitted for possible open access publication under the terms and conditions of the Creative Commons Attribution (CC BY-NC) license (https://creativecommons.org/licenses/by/4.0/). |
Resumen: El objetivo del estudio fue determinar el perfil fuerza-velocidad en pitchers universitarios mediante la adaptación de este indicador a la mecánica de lanzamiento, utilizando pelotas de distintos pesos para evaluar la relación entre fuerza aplicada y velocidad generada para esto se realizó un estudio cuantitativo y transversal con (n=9) lanzadores masculinos (18–24 años). Se midió la velocidad (con radar Stalker Pro II) y la fuerza (F=m·a) al lanzar pelotas de 3, 5, 7 y 9 oz. Los datos se analizaron con estadística descriptiva (media ± DE) y se realizó una correlación de Pearson un análisis de varianza (ANOVA) y la prueba de Tukey. Se observó una relación inversa entre fuerza y velocidad: al aumentar el peso de la pelota, la velocidad disminuyó (de 79.0 ± 4.64 mph con 3 oz a 65.2 ± 2.97 mph con 9 oz), mientras que la fuerza aumentó (de 28.0 ± 14.35 N a 76.7 ± 32.58 N). Los perfiles individuales mostraron alta variabilidad (R² entre 0.6732 y 0.9623), destacando diferencias en la eficiencia neuromuscular entre lanzadores. La adaptación del perfil fuerza-velocidad a la mecánica de lanzamiento es viable y revela información clave para personalizar el entrenamiento. Los resultados sugieren que este método puede optimizar el rendimiento y prevenir lesiones al identificar desequilibrios específicos en cada pitcher.
Palabras clave: perfil fuerza-velocidad, béisbol universitario, lanzamiento, optimización del entrenamiento.
Abstract: The force-velocity profile has been widely used to evaluate neuromuscular performance in sports but has not been adapted to baseball pitching. Given the importance of pitching velocity for player performance, this study aimed to determine the force velocity-profile through pitching mechanics using weighted baseballs. A quantitative, cross-sectional study was conducted with nine male collegiate pitchers (aged 18–24 years). Participants threw baseballs of different weights (3, 5, 7, and 9 oz) at maximum intensity. Velocity was measured using a Stalker Pro II radar gun, and force was calculated (F = m·a). Descriptive statistics (mean ± SD) and Pearson correlations were used for analysis. Inverse relationship: As ball weight increased, velocity decreased (from 79.0 ± 4.64 mph with 3 oz to 65.2 ± 2.97 mph with 9 oz), while force increased (from 28.0 ± 14.35 N to 76.7 ± 32.58 N). Individual variability, force-velocity profile showed high inter-individual differences (R² range: 0.67–0.96), indicating unique neuromuscular adaptations among pitchers. The force-velocity profile can be effectively assessed through pitching mechanics using weighted baseballs. This method provides actionable insights for personalized training programs to enhance performance and reduce injury risks in collegiate pitchers.
Keywords: force-velocity profile, baseball pitching, weighted balls, neuromuscular performance, training optimization.
INTRODUCCIÓN
En el entrenamiento de pitchers en la actualidad, ha tomado una gran importancia la velocidad de lanzamiento debido a que, para los reclutadores y entrenadores, es el principal indicador de rendimiento de un pitcher (Mercier et al., 2020). Esta es definida como el tiempo que tarda la pelota llegar al home plate desde el momento que deja la mano del lanzador hasta llegar al guante del receptor.
Para la mejora del rendimiento, los métodos de entrenamiento han comenzado a implementar el uso de pelotas de peso (Marsh et al., 2018; Melugin et al., 2021; O’Connell et al., 2021; Reinold et al., 2018, 2020) . Por lo que sería adecuado realizar la adaptación de un indicador que utilice implementos similares.
En los últimos años, el perfil fuerza-velocidad ha generado tendencia como indicador de rendimiento, este es basado en la relación de fuerza-velocidad caracterizado por la máxima capacidad mecánica del sistema neuromuscular (Morin y Samozino, 2016).
El método con el que se obtiene el perfil fuerza-velocidad ha tenido adaptaciones a distintos patrones de movimiento, se ha determinado a través del Squat Jump (Samozino et al., 2008; Samozino et al., 2010; Jiménez-Reyes et al., 2014; Jiménez-Reyes, Samozino, Pareja-Blanco, et al., 2017;Jiménez-Reyes, Samozino, Brughelli, et al., 2017) el sprint (Samozino et al., 2016) y también se han realizado adaptaciones a patrones de movimiento similares a gestos técnicos de distintos deportes. Se ha determinado mediante una serie de saltos con diferentes cargas en basquetbolistas juveniles (Ramos y Bazuelo, 2022), a través del análisis de la fuerza en los flexores del codo en gimnastas varones (Nakatani et al., 2021) y mediante el análisis del lanzamiento por encima de la cabeza en jugadores de balonmano (Van Den Tillaar y Ettema, 2004).
Aunque el número de investigaciones sobre el perfil fuerza-velocidad es amplio, hasta el momento no se ha encontrado algún estudio que realice la adaptación del perfil fuerza-velocidad a la mecánica de lanzamiento de beisbol (Wolte et al., 2024).
La adaptación del perfil fuerza-velocidad a través de la mecánica de lanzamiento podría ayudar en saber en qué punto de la curva de fuerza-velocidad nuestros lanzadores son más eficientes en el entrenamiento, esto para la búsqueda del aumento de la velocidad de lanzamiento.
Por lo anterior, el objetivo del presente estudio es determinar el perfil fuerza-velocidad a través de la mecánica de lanzamiento en pitchers universitarios. Se plantea la hipótesis de que se puede determinar el perfil fuerza-velocidad a través de la mecánica de lanzamiento de manera viable.
MATERIALES Y MÉTODOS
Diseño de estudio
El diseño del estudio es cuantitativo, transversal y con alcance correlacional debido a que busca analizar el comportamiento de la relación dos variables a través de la mecánica de lanzamiento de béisbol.
Población y muestra del estudio
Participaron nueve (n=9) lanzadores de béisbol masculinos, de nivel universitario, con edad de 18 a 24 años. El muestreo realizado fue no probabilístico por conveniencia.
Instrumentos
Pistola de radar Stalker Pro II (Applied Concepts Inc., Texas).
Pelotas de beisbol de distintos pesos de: 3 oz, 7 oz y 9 oz. (Driveline, Pensilvania, Estados Unidos).
Pelotas pliométricas de destinitos pesos: 21 oz, 7 oz y 5 oz. (Driveline, Pensilvania, Estados Unidos) su material es de silicón y dentro tiene arena para establecer el peso.
Pelota reglamentaria (Rawlings, Misuri, Estados Unidos).
Reloj digital Apple Watch SE (Apple Inc. California, Estados Unidos) cuya correa es de silicón y para su fijación se utilizó cinta.
Aplicación digital Arm Speed Analyzer v.2.5.0.31 (FRE Studios LLC).
Ubicación de la pistola de radar
La pistola de radar se colocó a 2.5 metros ubicado detrás del pitcher a partir de la placa de lanzamiento. Se utilizó esta ubicación por un aspecto práctico en la aplicación del protocolo en relación con el espacio del campo.
Colocación del reloj
El reloj se fijó exactamente a nivel de la apófisis estiloide cubital del brazo dominante de forma que la correa no interfiera con el rango de movimiento de la mano durante el lanzamiento.
Protocolo de lanzamiento
Primero, se realizó un calentamiento general consistente en movilidad articular y calentamiento dinámico, en el cual, se realizaron ejercicios para la activación (por ejemplo, circunducción de los hombros, jogging, desplazamientos laterales, etc.).
Calentamiento específico
Consistió en realizar ejercicios progresivos de la mecánica de lanzamiento usando pelotas pliométricas (Driveline, Pensilvania, Estados Unidos) de 21 oz, 7 oz y 5 oz.
Pelota pliométrica 21 oz.
“Reverse Throw”: El sujeto se posiciona dando la espalda a este y se arrodilla con la pierna de caída arriba y la pierna de carga apoyada en el suelo, después el sujeto lanza la pelota realizando un movimiento de lanzamiento en reversa para que la pelota golpee el muro que se encuentra atrás (ver Figura 1).
“Rocker drill”: Desde una posición lateral frente al muro, el sujeto realiza un balance de su peso hacia su trasera y utilizando la inercia ejecuta el lanzamiento hacia la pared (ver Figura 2).
Pelota Pliométrica 7 oz
“Figure 8 throws”: A partir de una posición lateral con la pelota en la mano el sujeto realiza la silueta de un numero 8 de forma horizontal y al terminar de trazarlo realiza el lanzamiento de la pelota hacia la pared (ver Figura 3).
Figura 1. Ilustración de la ejecución del ejercicio “Reverse throw”.
Nota: Elaboración propia.
Figura 2. Ilustración de la ejecución del ejercicio “Rocker drill”.
Nota: Elaboración propia.
Figura 3. Ilustración de la ejecución del ejercicio “Figure 8 throw”.
Nota: Elaboración propia.
Figura 4. Ilustración de la ejecución del ejercicio “Walking windups”.
Nota: Elaboración propia.
Pelota pliométrica 5 oz
“Walking windups”: De frente a la pared el sujeto da dos pasos hacia al frente y procede a elevar la pierna frontal para realizar la mecánica de lanzamiento y tirar la pelota hacia el muro (ver Figura 4).
Pelota estándar
Se realizaron lanzamientos utilizando la mecánica de lanzamiento aumentando la distancia de forma progresiva comenzando en 45 pies hasta llegar a una distancia de 120 pies.
Ejecución de la prueba de lanzamiento.
En el montículo, el sujeto realizó 3 lanzamientos a máxima intensidad con cada pelota iniciando con la pelota de 9 oz con un descanso de 17 segundos de descanso entre lanzamientos (ver Figura 5), de acuerdo con la regla del cronometro de lanzamiento, establecido por Major League Baseball en 2024.
La velocidad de lanzamiento fue medida con la pistola de radar Stalker Pro II (Applied Concepts Inc., Texas).
Una vez realizados los 3 lanzamientos con la pelota de 3 oz el sujeto tomó un descanso de 5 minutos para proceder a repetir el mismo procedimiento con la pelota de 7, 5 y 3 oz. La intensidad de los lanzamientos se midió de acuerdo con la velocidad de lanzamiento tomando como base la velocidad de lanzamiento con la pelota de peso reglamentario (5 oz).
Figura 5. Diagrama de la zona de lanzamiento.
Nota: Elaboración propia.
Establecer los valores de fuerza
Posterior al protocolo, se obtuvo los valores de fuerza mediante la fórmula física de la fuerza que es:

Donde m es la masa en kg del peso de la pelota y a es la aceleración generada por el brazo en el lanzamiento.
Análisis estadístico
Se realizaron análisis descriptivos (Media ±DE) y Correlación de Pearson entre los valores de fuerza y velocidad mediante el programa Microsoft Excel en su versión de Office 365. (Microsoft, NM, Estados Unidos). Así como también se realizó un análisis de varianza (ANOVA), y la prueba de Tukey en el programa SPSS (versión 22).
RESULTADOS
Se presentó media de velocidad de 65.2 ± 2.97 para la pelota de 9 oz, 70 ± 3.06 para la pelota de 7 oz, 75.5 ± 3.49 para la pelota reglamentaria y 79 ± 3.49 para la pelota de 3 oz (ver Figura 6).
Cuadro 1. Media y desviación estándar de la velocidad de lanzamiento (mph) y la fuerza aplicada en el lanzamiento (N).
| Velocidad | Fuerza |
| |||||
| 3 oz | 5 oz | 7 oz | 9 oz | 3 oz | 5 oz | 7 oz | 9 oz |
Sujeto 1 | 85.7 | 82.0 | 76.2 | 71.5 | 18.65 | 31.74 | 43.97 | 56.03 |
Sujeto 2 | 76.8 | 75.4 | 69.8 | 65.5 | 18.56 | 31.10 | 45.42 | 53.87 |
Sujeto 3 | 77.4 | 74.9 | 68.2 | 65.1 | 15.80 | 33.94 | 45.49 | 62.20 |
Sujeto 4 | 85.83 | 78.53 | 69.83 | 65.10 | 8.36 | 11.75 | 33.48 | 35.82 |
Sujeto 5 | 83.10 | 78.47 | 73.73 | 67.27 | 42.93 | 55.75 | 74.45 | 119.77 |
Sujeto 6 | 78.10 | 73.40 | 68.27 | 65.27 | 20.32 | 16.25 | 48.55 | 61.13 |
Sujeto 7 | 75.90 | 71.60 | 66.80 | 60.90 | 43.29 | 56.08 | 98.55 | 123.76 |
Sujeto 8 | 75.53 | 72.80 | 68.27 | 63.10 | 45.35 | 56.32 | 59.13 | 66.05 |
Sujeto 9 | 73.13 | 72.47 | 68.47 | 63.20 | 38.97 | 63.63 | 86.53 | 111.83 |
Promedio | 79.0 | 75.5 | 70.0 | 65.2 | 28.0 | 39.6 | 59.5 | 76.7 |
DE | 4.64 | 3.49 | 3.06 | 2.97 | 14.35 | 18.96 | 22.11 | 32.58 |
Mínimo | 73.13 | 71.60 | 66.80 | 60.9 | 8.36 | 11.75 | 33.48 | 35.82 |
Máximo | 85.83 | 82.0 | 76.20 | 71.50 | 45.35 | 63.63 | 98.55 | 123.76 |
Nota: DE: Desviación estándar.
Figura 6. Media y desviación estándar de los valores de velocidad de lanzamiento (a) y fuerza aplicada en el lanzamiento (b).
Mientras que los valores de fuerza son 76.7 ± 32.58 para la pelota de 9 oz, 59.5 ± 22.11 para la pelota de 7 oz, 39.6 ± 18.96 para la pelota reglamentaria y 28 ± 14.35 para la pelota de 3 oz (Cuadro 1).
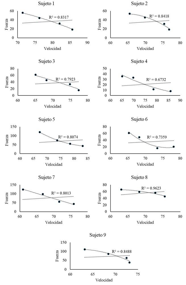
A través de la creación de los perfiles fuerza-velocidad por sujeto (ver Figura 7) se obtuvieron valores de R2 donde destaca el sujeto 8 con un valor de 0.9623, el cual obtuvo el valor más alto. Mientras que el sujeto 4 obtuvo el valor más bajo con un valor de 0.6732. También se obtuvieron valores de R2 de 0.8317, 0.8418, 0.7923, 0.8074, 0.7359, 0.8013, 0.8488.
DISCUSIÓN
El objetivo del estudio fue determinar este perfil a través de la mecánica de lanzamiento en pitchers universitarios. Los resultados obtenidos confirman que es viable medir la relación entre fuerza y velocidad en el lanzamiento de béisbol utilizando pelotas de distintos pesos, lo que coincide con adaptaciones previas del perfil fuerza-velocidad en otros gestos deportivos como el salto vertical o el sprint (Samozino et al., 2008; Samozino et al., 2016).
La relación entre fuerza y velocidad varía según las características individuales de cada pitcher. Los resultados obtenidos muestran una correlación significativa negativa (-.692) y es consistente con el principio biomecánico fundamental de la relación fuerza-velocidad que ha sido documentada en gestos similares como el lanzamiento en balonmano (Van Den Tillaar y Ettema, 2004), donde también se reporta una disminución en la velocidad conforme aumenta la resistencia, lo que nos indica que, a mayor peso de la pelota, disminuye la velocidad de lanzamiento, pero aumenta la fuerza aplicada. Este patrón sugiere que los lanzadores tienden a priorizar la fuerza cuando se enfrentan a cargas mayores, lo que podría estar relacionado con la mecánica del lanzamiento y la capacidad del sistema neuromuscular para adaptarse a diferentes demandas.
La adaptación del perfil fuerza-velocidad a la mecánica de lanzamiento permite identificar zonas óptimas de trabajo para cada pitcher. Por ejemplo, un lanzador con un perfil que muestra alta fuerza, pero baja velocidad, podría beneficiarse de ejercicios que mejoren su capacidad para generar velocidad, como el uso de pelotas más ligeras o ejercicios de movilidad específicos. Por otro lado, un lanzador con alta velocidad, pero baja fuerza podría necesitar enfocarse en ejercicios de fortalecimiento muscular, especialmente en ejercicios para mejorar la cadena cinética involucrada en el lanzamiento.
Al realizar un análisis de las velocidades de lanzamiento, se presenta que las cargas más ligeras (3 oz) fueron lanzados a una media de 79 mph, mientras que los más pesados (9 oz) alcanzaron solo 65.2 mph (Figura 6). Al comparar nuestras medias de velocidad con las reportadas en estudios que utilizan pelotas de peso en programas de entrenamiento (Reinold et al., 2018; Marsh et al., 2018), se observa que la reducción de velocidad con pelotas más pesadas es un patrón común. No obstante, la magnitud de la disminución en nuestro estudio (de 79.0 mph con 3 oz a 65.2 mph con 9 oz) fue menor a la reportada en algunos programas de entrenamiento con pelotas pesadas, lo que podría deberse a diferencias en el nivel de los participantes o al protocolo de lanzamiento utilizado. Y aunque la desviación estándar en la velocidad es relativamente baja (entre 2.97 y 4.64), indica una dispersión moderada en los datos, posiblemente debido a diferencias técnicas entre los participantes.
En cuanto a la fuerza aplicada en el lanzamiento, los resultados revelan un incremento significativo conforme aumenta el peso del objeto (Figura 7). La media de fuerza aplicada pasó de 28 N para 3 oz a 76.7 N para 9 oz, lo que refleja el mayor esfuerzo requerido para lanzar objetos más pesados. Sin embargo, aquí la variabilidad entre sujetos es mucho más marcada, como lo evidencia la desviación estándar, que se eleva desde 14.35 N hasta 32.58 N. Esta dispersión sugiere que algunos individuos, aplicaron fuerzas considerablemente menores en comparación con los demás, lo que podría deberse a diferencias en su técnica, condición física o nivel de entrenamiento.
Al realizar el análisis de varianza (ANOVA) se obtuvo un valor de significancia de p=0.000 en los valores tanto de fuerza como de velocidad, por lo que hay diferencias significativas entre los pesos de la pelota. Con la prueba de Tukey, se observó que en comparación con la pelota reglamentaria (5 oz), hubo diferencias significativas en los valores de velocidad con la pelota de 7 oz, p = 0.013, y 9 oz, p = 0.000, lo que describe que la velocidad de lanzamiento disminuye conforme el peso de la pelota aumenta. Al realizar la prueba en los valores de fuerza, solamente la pelota de 9 oz muestra diferencias significativas en comparación con la pelota reglamentaria p = 0.009. Esto demuestra un aumento significativo en la fuerza aplicada en el lanzamiento al realizarlo con la pelota de 9 oz.
Figura 6. Perfiles fuerza-velocidad individuales.
Nota: Los valores de velocidad son expresados en millas por hora (mph) y los valores de fuerza son expresados en Newtons (N).
Los resultados de estas pruebas nos muestran que, en cuanto al entrenamiento de velocidad, usar pelotas por encima del peso reglamentario, reduce la velocidad de ejecución y podrían ser útil usarlas en ejercicios donde se quiera controlar la velocidad o generar alguna adaptación en específico. En cuanto al entrenamiento específico de fuerza el usar la pelota de 9 oz. Podría ser más útil en entrenamientos o ejercicios donde se busque trabajar la potencia.
Otro de los hallazgos más relevantes del estudio es la variabilidad interindividual en nuestros resultados (R² = 0.9623, 0.6732, 0.8317, 0.8418, 0.7923, 0.8074, 0.7359, 0.8013, 0.8488) sugiere que la eficiencia mecánica en el lanzamiento de béisbol puede estar más influenciada por factores técnicos específicos del gesto, como la secuencia de activación de la cadena cinética o la estabilidad del tronco (Fortenbaugh et al., 2009). Esta variabilidad sugiere que no existe un enfoque único para mejorar el rendimiento, sino que el entrenamiento debe ser personalizado según las necesidades y características de cada pitcher siguiendo con las ideas de Morin y Samozino (2016) que nos mencionan que al tener una evaluación individualizada nos ayuda a identificar áreas de oportunidad en la aplicación de fuerza en el lanzamiento y así optimizar el entrenamiento.
Por ejemplo, el sujeto 8, quien presentó el mejor valor de R² (0.9623), mostró una excelente manifestación de la fuerza durante el lanzamiento. Esto podría indicar que su mecánica de lanzamiento es altamente eficiente en términos de transferencia de fuerza a velocidad. Sin embargo, el sujeto 4 con un R² más bajo (0.6723) podría necesitar un enfoque diferente, como ajustes en su técnica o fortalecimiento de ciertos grupos musculares.
Asimismo, estudios anteriores han relacionado otros factores que afectan la velocidad de lanzamiento que podrían tener efecto en la fuerza aplicada en el lanzamiento como lo son la cinemática de la mecánica y la edad (Mercier et al., 2020) por lo que considerar estos aspectos podrían brindar una mejor explicación sobre el comportamiento del valor de la R2.
La evaluación del perfil fuerza-velocidad también podría tener implicaciones importantes en la prevención de lesiones. Un desequilibrio en la relación fuerza-velocidad podría indicar una disfunción en la cadena cinética del lanzador, lo que predispone a un mayor riesgo de lesión (Fortenbaugh et al., 2009).
Asimismo, estudios anteriores han relacionado otros factores que afectan la velocidad de lanzamiento que podrían tener efecto en la fuerza aplicada en el lanzamiento como lo son la cinemática de la mecánica y la edad (Mercier et al., 2020) por lo que considerar estos aspectos podrían brindar una mejor explicación sobre el comportamiento del valor de la R2.
La evaluación del perfil fuerza-velocidad también tiene implicaciones importantes en la prevención de lesiones. Un desequilibrio en la relación fuerza-velocidad podría indicar una disfunción en la cadena cinética del lanzador, lo que podría predisponerlo a lesiones comunes en el béisbol, como lesiones en el hombro o codo.
Además, el uso de pelotas de diferentes pesos como herramienta de entrenamiento no solo ayuda a mejorar la fuerza y la velocidad, sino que también puede contribuir a fortalecer los músculos involucrados en el lanzamiento, reduciendo así el riesgo de lesiones. Este enfoque proactivo hacia el perfil fuerza-velocidad puede convertirse en un componente clave de los programas de prevención de lesiones en el béisbol.
Aunque el estudio se centra en la adaptación del perfil fuerza-velocidad a la mecánica de lanzamiento, sus hallazgos se alinean con investigaciones previas en otros contextos deportivos. Por ejemplo, en deportes como el baloncesto y el balonmano, se ha utilizado el perfil fuerza-velocidad para evaluar y mejorar el rendimiento de los atletas (Van Den Tillaar y Ettema, 2004; Ramos y Bazuelo, 2022). Sin embargo, la aplicación de esta herramienta en el béisbol es novedosa y abre un camino para futuras investigaciones en este deporte.
Aunque el estudio aporta valiosa información sobre el perfil fuerza-velocidad en pitchers universitarios, existen algunas limitaciones que deben ser consideradas. Por ejemplo, la muestra fue relativamente pequeña (n=9), lo que podría limitar la generalización de los resultados.
Además, el estudio se enfocó exclusivamente en la determinación del perfil a partir de la ejecución de la mecánica de lanzamiento, sin considerar otros factores que podrían influir en el perfil fuerza-velocidad, como la mecánica del lanzador.
También, no se consideraron las variables cinéticas y cinemáticas involucradas en la mecánica de lanzamiento, principalmente aquellas que influyen en la velocidad de lanzamiento. Además, tampoco se consideró la precisión de los lanzamientos.
Aparte, la validación de la medición del perfil fuerza-velocidad a través del lanzamiento de béisbol aún no se ha realizado, lo que podría realizarse en futuros trabajos de investigación.
Futuras investigaciones podrían explorar la relación entre el perfil fuerza-velocidad y la técnica del lanzamiento, analizando cómo ajustes en la mecánica pueden influir en la eficiencia de la transferencia de fuerza a velocidad. Además, sería útil realizar estudios longitudinales para evaluar cómo el perfil fuerza-velocidad evoluciona con el tiempo y en respuesta a diferentes programas de entrenamiento.
Desde una perspectiva práctica, los resultados del estudio ofrecen una guía clara para los entrenadores. El uso de pelotas de diferentes pesos, como las utilizadas en este estudio (3 oz, 5 oz, 7 oz y 9 oz), puede ser una herramienta sencilla y efectiva para evaluar y mejorar el perfil fuerza-velocidad de los pitchers.
Los entrenadores también podrían beneficiarse de la creación de perfiles fuerza-velocidad individualizados para cada lanzador, lo que les permitiría diseñar programas de entrenamiento personalizados. Por ejemplo, un lanzador con un perfil que muestra una gran fuerza, pero baja velocidad podría beneficiarse de ejercicios que mejoren su capacidad para generar velocidad, como lanzamientos con pelotas ligeras o ejercicios de alta intensidad. Por otro lado, un lanzador con un perfil de alta velocidad, pero baja fuerza podría necesitar ejercicios de fortalecimiento muscular, como el uso de pelotas pesadas o ejercicios de fuerza.
Finalmente, es importante destacar el impacto que puede tener la evaluación y optimización del perfil fuerza-velocidad en el rendimiento deportivo. Un lanzador que entiende su perfil y trabaja para mejorar la eficiencia en la transferencia de fuerza a velocidad puede experimentar mejoras significativas en su velocidad de lanzamiento y, consecuentemente, en su efectividad en el juego. Esto no solo beneficiaría al lanzador individualmente, sino que también podría contribuir al éxito del equipo.
CONCLUSIONES
El presente estudio investigó la relación de fuerza-velocidad a través de determinar el perfil fuerza-velocidad a través de la mecánica de lanzamiento. Los resultados del trabajo indican que es posible obtener el comportamiento de la relación a través de la mecánica de lanzamiento utilizando distintos pesos.
Desde un punto de vista práctico es necesario conocer el comportamiento de este perfil para individualizar el entrenamiento de acuerdo con las necesidades del atleta determinadas al momento de obtener el perfil. Por lo que, subsecuentemente, al cubrir estas necesidades beneficiará a los lanzadores para lograr aumentar su rendimiento en el lanzamiento.
Disponibilidad de datos
Los conjuntos de datos generados para el presente estudio están a disposición bajo resguardo del autor correspondiente y se pueden proporcionar previa solicitud razonable.
Contribución de los autores
AIBE y EADO: Ejecución del experimento y preparación del manuscrito. AIBE, EADO y GHC: Ejecución del experimento. AIBE, GHC y ZNAR: Análisis e interpretación de los datos, edición y revisión. EADO y LECG: Diseño del experimento, edición y revisión. GHC y ZNAR: Preparación del manuscrito, aprobación de la versión final del manuscrito. AIBE y EADO: Conceptualización del estudio, preparación del manuscrito y aprobación de la versión final del manuscrito.
Financiamiento
Este estudio no recibió financiamiento de ninguna organización pública o privada.
Conflicto de intereses
Los autores declaran que la investigación se llevó a cabo sin ninguna relación comercial o financiera que pudiera interpretarse como posible conflicto de intereses.
Declaración de ética
Para la realización del estudio se siguieron los lineamientos propuestos para la investigación en seres humanos del LGS-MIS de México, mismo que la clasifica como “investigación sin riesgo” de acuerdo con el capítulo I, artículo 17, fracción I. Todos los participantes otorgarán su consentimiento de participación mediante su firma de conformidad de haber sido informados del objetivo y procedimiento del estudio, así como los fines que la investigación tiene. El estudio se realizó respetando. El estudio se realizó de acuerdo con los principios de la Declaración de Helsinki.
REFERENCIAS
Fortenbaugh D, Fleisig GS, Andrews JR. 2009. Baseball Pitching Biomechanics in Relation to Injury Risk and Performance. Sports Health: A Multidisciplinary Approach. DOI: 10.1177/1941738109338546
Jiménez-Reyes P, Samozino P, Brughelli M, Morin JB. 2017. Effectiveness of an individualized training based on force-velocity profiling during jumping. Frontiers in Physiology. DOI: 10.3389/fphys.2016.00677
Jiménez-Reyes P, Samozino P, Cuadrado-Peñafiel V, Conceição F, González-Badillo JJ, Morin JB. 2014. Effect of countermovement on power–force–velocity profile. European Journal of Applied Physiology. DOI: 10.1007/s00421-014-2947-1
Jiménez P, Samozino P, Pareja F, Conceição F, Cuadrado V, González JJ, Morin JB. 2017. Validity of a simple method for measuring force-velocity-power profile in countermovement jump. International Journal of Sports Physiology and Performance. DOI: 10.1123/IJSPP.2015-0484
Marsh JA, Wagshol MI, Boddy KJ, O’Connell ME, Briend SJ, Lindley KE, Caravan A. 2018. Effects of a six-week weighted-implement throwing program on baseball pitching velocity, kinematics, arm stress, and arm range of motion. PeerJ. DOI: 10.7717/peerj.6003
Melugin HP, Smart A, Verhoeven M, Dines JS, Camp CL. 2021. The Evidence Behind Weighted Ball Throwing Programs for the Baseball Player: Do They Work and Are They Safe? Current Reviews in Musculosketal Medicine. DOI: 10.1007/s12178-020-09686-0/Published
Mercier MA, Tremblay M, Daneau C, Descarreaux M. 2020. Individual factors associated with baseball pitching performance: Scoping review. BMJ Open Sport and Exercise Medicine. DOI: 10.1136/bmjsem-2019-000704
Morin JB, Samozino P. 2016. Interpreting power-force-velocity profiles for individualized and specific training. International Journal of Sports Physiology and Performance. DOI: 10.1123/ijspp.2015-0638
Nakatani M, Murata K, Kanehisa H, Takai Y. 2021. Force-velocity relationship profile of elbow flexors in male gymnasts. PeerJ. DOI: 10.7717/peerj.10907
O’Connell ME, Lindley K, Scheffey J, Caravan A, Marsh J, Brady A. 2021. Weighted Baseball Training Affects Arm Speed without Increasing Elbow and Shoulder Joint Kinetics. SportRXiV. DOI: 10.31236/osf.io/pzh8a
Ramos R, Bazuelo B. 2022. Análisis descriptivo del perfil fuerza-velocidad del salto vertical en jugadores de baloncesto de formación. Acción Motriz. Recuperado a partir de https://www.accionmotriz.com/index.php/accionmotriz/article/view/193
Reinold MM, Macrina LC, Fleisig GS, Aune K, Andrews JR. 2018. Effect of a 6-Week Weighted Baseball Throwing Program on Pitch Velocity, Pitching Arm Biomechanics, Passive Range of Motion, and Injury Rates. Sports Health. DOI: 10.1177/1941738118779909
Reinold MM, Macrina LC, Fleisig GS, Drogosz M, Andrews JR. 2020. Acute Effects of Weighted Baseball Throwing Programs on Shoulder Range of Motion. Sports Health: A Multidisciplinary Approach. DOI: 10.1177/1941738120925728
Samozino P, Morin JB, Hintzy F, Belli A. 2008. A simple method for measuring force, velocity and power output during squat jump. Journal of Biomechanics. DOI: 10.1016/j.jbiomech.2008.07.028
Samozino P, Morin JB, Hintzy F, Belli A. 2010. Jumping ability: A theoretical integrative approach. Journal of Theoretical Biology. DOI: 10.1016/j.jtbi.2010.01.021
Samozino P, Rabita G, Dorel S, Slawinski J, Peyrot N, Saez de Villarreal E, Morin JB. 2016. A simple method for measuring power, force, velocity properties, and mechanical effectiveness in sprint running. Scandinavian Journal of Medicine and Science in Sports. DOI: 10.1111/sms.12490
Van Den Tillaar R, Ettema G. 2004. A force-velocity relationship and coordination patterns in overarm throwing. Journal of Sports Science and Medicine. Recuperado a partir de https://pmc.ncbi.nlm.nih.gov/articles/PMC3938059/
Wolte C, Gronwald T, Schaffarczyk M, Wilke J. 2024. Individualized Training Based on the Force-Velocity Profile: A Systematic Review with Meta-Analysis examining the Effects on Motor Performance. Research Square. DOI: 10.21203/rs.3.rs-5135420/v1